Articles | Volume 43, issue 1
https://doi.org/10.5194/angeo-43-319-2025
https://doi.org/10.5194/angeo-43-319-2025
Regular paper
 | 
17 Jun 2025
Regular paper |  | 17 Jun 2025

Deterministic chaos in modulated multi-cell drifts of localized lower-hybrid oscillations excited by high-frequency waves in the ionosphere

Thomas B. Leyser
Abstract

The prominent broad upshifted maximum (BUM) feature in electromagnetic emissions stimulated by powerful high-frequency radio waves in the ionosphere exhibits an exponential spectrum for pump frequencies near a harmonic of the ionospheric electron gyro frequency. Exponential power spectra are a characteristic of deterministic chaos. In the present treatment, a two-fluid model is derived for lower-hybrid (LH) oscillations driven by parametric interaction of the electromagnetic pump field, the electron Bernstein mode, and the upper-hybrid mode, as previously proposed to interpret the BUM. In two-dimensional geometry across the geomagnetic field, LH oscillations localized in cylindrical density depletions are associated with multi-cell plasma drift patterns. The numerical simulations show that topological modulations of the drift can give rise to approximately Lorentzian-shaped pulses in the LH time signal. For parameter values typical of the ionospheric experiments, the exponential power spectrum of the Lorentzian pulses has a slope that is consistent with the slope of the BUM spectrum. The BUM spectral structure is therefore attributed to deterministic chaos in LH dynamics.

Share
1 Introduction

Electromagnetic emissions excited by powerful high-frequency (HF) electromagnetic waves transmitted into the ionosphere from the ground exhibit a rich spectral structure that depends notably on the pump frequency f0 and its relation to a multiple s of the ionospheric electron gyro frequency fe (Leyser2001). Figure 1 displays the most prominent spectral feature of the stimulated electromagnetic emissions (SEEs), the so-called broad upshifted maximum (BUM), with its spectral maximum at fBUMf0+24kHz. The high-frequency flank of the BUM commonly exhibits an exponential power spectrum, with a constant slope in a semi-logarithmic plot. Also seen in Fig. 1 is a downshifted maximum (DM) at approximately f0−10kHz.

As first established in the fluid and nonlinear dynamics communities (Frisch and Morf1981; Greenside et al.1982), exponential power spectra are a characteristic of deterministic chaos. Research on magnetically confined laboratory plasma showed that the associated time evolution consists of intermittent narrow pulses of Lorentzian shape (Pace et al.2008) that arise because of topological modulations in the plasma drift trajectories in the vicinity of separatrices in the velocity field (Maggs and Morales2011, 2012). The topological modulations of a single-cell drift pattern can make pulses of plasma escape or enter the flow cell. In a multi-cell flow pattern, the modulations can make plasma pulses cross separatrices between the cells to switch the flow cell. Numerical simulations of structures formed by a temperature filament in magnetically confined plasma showed that Lorentzian pulses can arise due to the topological modulations of only two modes of coherent drift waves (Shi et al.2009).

A Lorentzian pulse has the following functional form (Pace et al.2008; Hornung et al.2011; Maggs and Morales2011):

(1) L ( t ) = A 1 + ( t - t 0 τ ) 2 ,

where A is the amplitude of the pulse of width τ centred at time t=t0. The Fourier transform of L(t) is L^(ω)=Aτπeiωt0e-ωτ, such that its power spectrum is

(2) P ( ω ) = A 2 τ 2 π 2 exp ( - 2 ω τ ) .

A signal time series containing Lorentzian pulses of approximately equal widths τ will thus exhibit an exponential power spectrum P(f)exp(-f/fs) with a scaling frequency of fs=1/(4πτ).

A simplified model of the E×Bg drift associated with lower-hybrid (LH) oscillations localized in cylindrical geometry across the geomagnetic field Bg (where E is the electric field of the LH oscillations) suggested that deterministic chaos could also be excited by HF radio waves in the ionosphere (Leyser2021). It was shown that the drift trajectories can be chaotic in the localized multi-cell standing-wave pattern of the driving oscillations in the plane perpendicular to Bg. This dynamic exhibits an exponential power spectrum that is consistent with that of the BUM feature in the SEE spectrum.

https://angeo.copernicus.org/articles/43/319/2025/angeo-43-319-2025-f01

Figure 1A BUM spectral feature observed in experiments at the SURA HF facility in Russia, with f0=5.426 MHz, 4fe≈5.407 MHz, and ΔfBUM≈24kHz (27 September 1998). Taken from Leyser (2021), where it is adapted from Carozzi et al. (2002).

The frequency of the BUM fBUM follows the empirical relation (Leyser et al.1989; Leyser2001)

(3) f BUM - f 0 f 0 - s f e ,

where s≥3. This dependence suggests that the BUM is excited by a parametric four-wave interaction. Huang and Kuo (1994) developed a one-dimensional analytical model involving an electromagnetic pump wave with an angular frequency and wave vector (ω0, k0), electron Bernstein (EB) waves (ω1sωe, k1), upper-hybrid (UH) waves (ω2=2πfBUMsωe, k2), and non-resonant LH oscillations (ω3, k3). The matching conditions in their electrostatic approximation are ω1+ω3=ω0=ω2-ω3 and k1+k3=0=k2-k3. With this, ω3ω1ω0ω2 (ωα=2πfα for α=0,1,2,3). By assuming that the UH mode at ω2>ω0 is converted to electromagnetic emissions by the scattering off of filamentary density striations, the emissions could propagate to the ground to be detected as the BUM in the SEE spectrum. The theoretical model was found to be consistent with experimental results and has been verified by numerical simulations of an electrostatic particle-in-cell model with one periodic space dimension and three velocity dimensions (Xi and Scales2001).

In the present treatment, a two-fluid model of LH oscillations excited by the beating of an electromagnetic pump field is presented, with EB and UH oscillations assumed to be localized in a cylindrical density depletion in the plane perpendicular to Bg. This complements the study of parametric four-wave interactions by Huang and Kuo (1994) and focuses on the effects of an important nonlinear term for LH dynamics and considers two spatial dimensions. Further, the treatment expands on the study of Leyser (2021) by including the physics of LH oscillations instead of only the associated E×Bg drift. Simulation results are obtained with parameter values that are typical of those in electromagnetic pumping of ionospheric F-region plasma and show deterministic chaos in the LH dynamics and exponential power spectra that are consistent with what is observed for the BUM.

2 Theory

LH dynamics are described by a magnetized electron fluid and an unmagnetized ion fluid. For simplicity, the electron and ion fluids are taken here to be cold; i.e. the electron and ion temperatures are set to zero. All electric fields and velocities are considered to be in the xy plane perpendicular to a static and homogeneous geomagnetic field Bg=Bgz^.

The electron density is taken to be ne=ns+n3+n1+n2ns+n3+nh, where ns is the static background electron density, and nh contains the HF terms. The electron velocity is ve=v0+v1+v2+v3vh+v3, where vh contains the HF electron velocity terms. For reference, the quantities describing the four interacting wave modes are shown in Table 1. The force and charge continuity equations for v3 and n3 at the LH timescale are as follows:

(4) m e v 3 t = - e E 3 - e v 3 × B g - m e ( v h ) v h - ν e m e v 3 ,

(5) n 3 t + ( n e v e ) = 0 ,

where (/x)x^+(/y)y^; x^ and y^ are unit vectors in the x and y directions, respectively; E3 is the LH electric field; and νe is the electron collision frequency (me and e are the electron mass and charge, respectively). The term F=me(vh)vh is the ponderomotive force describing the nonlinear low-frequency effect of the HF waves on the electrons, and the angular brackets denote an averaging of the enclosed quantities over the HF oscillations.

Table 1Parameters for the four wave modes responsible for the broad upshifted maximum (BUM).

Download Print Version | Download XLSX

With the expressions for ne and ve, Eq. (5) gives the following at the LH timescale:

(6) n 3 t + ( n s + n 3 ) v 3 + v 3 n 3 = - n h v h .

The last (advection) term on the left-hand side is crucial to include the chaotic dynamics but has commonly been neglected in studies of nonlinear normal mode coupling of parametric interactions. For simplicity, this term is not included self consistently. To investigate the effect of the advection term, v3 is replaced by an externally provided drift velocity vD. Equation (6) is further simplified by ns≫|n3|, neglecting the effect of static density inhomogeneity (ns=0) and taking nhvh0 (Istomin and Leyser1995), such that

(7) n 3 t + n s v 3 + v D n 3 = 0 .

By noting that the second term on the right-hand side of Eq. (4) is the largest, v3 can be obtained by iteration (Istomin and Leyser1995), giving

v3=emeωe(1BgE3×Bg-1ωeE3t)-1meωe(1BgBg×F+1ωeFt)(8)-νeωe1BgE3,

where ωe=2πfe=eBg/me, with the last term being included to account for collisional damping. The ponderomotive force is taken to be (Istomin and Leyser1995)

(9) F = 1 8 e 2 m e 1 ( ω 0 + ω e ) 2 | E h | 2 .

Eh=E0+E1+E2 is the total HF electric field. For simplicity, an additional term that depends on the electron gyro harmonic s derived by Istomin and Leyser (1995) has been neglected.

Substituting Eq. (8) into Eq. (7) to eliminate v3 gives

(10) n 3 t = e n s m e ω e 2 t + ν e E 3 + n s m e ω e 2 t ( F ) .

With the Poisson equation ε0E3=e(ni3-n3), an equation relating the electron density fluctuations n3 to those of the ion density ni3 is obtained as follows (ε0 is the vacuum permittivity):

(11) n 3 t = ω p 2 ω uh 2 n i 3 t + ν e ω p 2 ω uh 2 ( n i 3 - n 3 ) - ω e 2 ω uh 2 v D n 3 + n s m e ω uh 2 t ( F ) ,

where ωuh2=ωp2+ωe2, and ωp is the electron plasma frequency.

The force and charge continuity equations for the unmagnetized ion fluid are, similarly,

(12)mivi3t=eE3-νimivi3,(13)ni3t+(ns+ni3)vi3+vDni3=0,

where νi is the ion collision frequency. Eliminating vi3 and using, again, the Poisson equation to eliminate E3 results in

(14) 2 t 2 + ω pi 2 + ν i t n i 3 = ω pi 2 n 3 - v D t n i 3 - v D n i 3 t .

Equations (11) and (14) are a coupled set of equations for the electron and ion densities, with n3 and ni3 being associated with the LH dynamics driven by the external fields through F and vD.

In order to relate the electromagnetic pump and EB, UH, and LH fields to one another through F and vD, it is recalled that the empirical relation in Eq. (3) suggests that the BUM is excited by a parametric four-wave interaction. In two-dimensional cylindrical geometry, the matching conditions are (Karplyuk et al.1970; Leyser2021)

(15)ω1+ω3=ω0=ω2-ω3,(16)m1+m3=m0=m2-m3,

where mα is the azimuthal mode number (α=0, 1, 2, 3). In cylindrical geometry, there are no matching conditions for the radial wave numbers krα.

The ponderomotive force F depends on the HF fields Eh. With the electric fields having the time dependence Eα∝cos (ωαt), the following terms in relation to F include components that can excite LH oscillations at ω3 according to the matching condition of Eq. (15):

(17) | E h | 2 = E 0 E 1 + E 0 E 2 .

The pump field is taken to be left-handedly circularly polarized (for which the electric field rotates in opposition to the electron gyro motion):

(18) E 0 = E 0 2 cos ( ω 0 t ) x ^ - sin ( ω 0 t ) y ^ .

The EB (α=1) and UH (α=2) oscillations are taken to have the potential

(19) Φ α = A α J m α ( k r α ρ ) cos ( m α φ + Δ φ α ) cos ( ω α t ) ,

such that Eα=-Φα, where Jmα is the Bessel function of the first kind, ρ=(x2+y2)1/2, φ is the azimuthal angle in the xy plane, and Δφα accounts for a possible phase shift between the EB and UH oscillations. With Eqs. (18) and (19) being incorporated into Eq. (17), an expression for F, as in Eq. (9), is obtained.

The largest contribution to v3 in Eq. (8) is the first term on the right-hand side, which is proportional to E3×Bg. The drift velocity vD, which has to be provided, is therefore taken to be vD=ED×Bg/Bg, where ED is associated with the beating of the HF fields that give contributions at ω3. For the present purpose, ED=-ΦD:

(20) Φ D = [ A 01 J m 3 ( k r 1 ρ ) cos ( m 3 φ ) + A 02 J m 3 ( k r 2 ρ ) × cos ( m 3 φ + Δ φ 2 ) ] cos ( ω 3 t ) e - ρ / L ,

where A01 (A02) is the potential that results from the beating at ω3 of the pump field and EB (UH) oscillations and is therefore proportional to the product of E0 and the amplitude A1 (A2) of the EB (UH) oscillations; see Eq. (19). However, it is beyond the scope of the present treatment to derive a relation between them. The focus here is to study the possible influence of the externally provided F and vD on LH dynamics. The last factor in Eq. (20) is used to model the localization of ΦD in relation to LH oscillations in a cylindrical density depletion, where L is the decay scale length of the potential outside of the depletion.

3 Simulation scheme

Solutions to Eqs. (11) and (14) are computed numerically. Hereafter, the dimensionless density variables η3n3(t,x,y)/ns and ηi3ni3/ns will be used. Further, Eq. (14) is of the second order in the time derivative. In order to solve it numerically, it is converted into two first-order equations by introducing ηi3ni3/ns. This gives the following set of three equations:

(21)η3t=ωp2ωuh2ηi3+(ηi3-η3)νe-ωe2ωuh2vDη3+1meωuh2t(F),(22)ηi3t=ωpi2(η3-ηi3)-νiηi3-vDtηi3-vDηi3,(23)ηi3t=ηi3.

To solve Eqs. (21) to (23) numerically, they are converted into a system of coupled algebraic equations by replacing η3, ηi3, and ηi3 with corresponding grid functions that are discretized in time t=tj=jΔt (j=0,1,2,,J) and on an equidistant spatial grid of x=xk=kΔd and y=yl=lΔd (k,l=0,1,2,,M), such that η3(tj,xk,yl)η3jkl, ηi3(tj,xk,yl)ηi3jkl, and ηi3(tj,xk,yl)ηi3jkl (Langtangen and Linge2017).

The time derivatives of η3, ηi3, and ηi3 are approximated with the forward Euler method for the finite differences; for example, η3/t(η3(j+1)kl-η3jkl)/Δt. All spatial differences are computed at the time step j. Second-order spatial derivatives are approximated by centred differencing; for example, 2Eαx/x2(Eαxj(k+1)l-2Eαxjkl+Eαxj(k-1)l)/Δx2. The first-order spatial derivatives of η3, ηi3, and ηi3 in the advection terms need a different treatment and are approximated by so-called upwind differencing. For example, in the x direction, with η3, we take η3/x(η3jkl-η3j(k-1)l)/Δx when vDx>0 and η3/x(η3j(k+1)l-η3jkl)/Δx when vDx<0. The direction of the differencing is always against the direction of the drift.

The spatial grid is 4.0×4.0m, with Δd≈0.025m. The fields are localized around the centre of the grid (x,y)=(0,0)m by multiplication of a factor exp(-ρ/L) with L=0.4m. All parameters are zero at the boundaries: η3j0l=η3jMl=0 and η3jk0=η3jkM=0, ηi3j0l=ηi3jMl=0 and ηi3jk0=ηi3jkM=0, and ηi3j0l=ηi3jMl=0 and ηi3jk0=ηi3jkM=0.

The time step is Δt=2.5×10-7 s. The initial conditions of the spatial grid are taken such that η30klΦD(t=0) in Eq. (20):

(24) η 3 0 k l = N 3 ( A 01 2 + A 02 2 ) 1 / 2 A 01 J m 1 ( k r 1 ρ k l ) cos ( m 1 φ k l ) + A 02 J m 2 ( k r 2 ρ k l ) cos ( m 2 φ k l + Δ φ 2 ) e - ρ / L ,

where A01 and A02 allow for different relative amplitudes of the EB and UH potentials. Further, ηi30kl=(ωuh2/ωp2)η30kl, and ηi30kl=0.

4 Simulation results

As an example, the azimuthal mode numbers of the interacting wave modes are taken to be m0=1, m1=-1, and m2=3, which, using Eq. (16), gives m3=2. In the experiments, the transmitted electromagnetic pump wave is approximately a left-handed circularly polarized plane wave on the small-spatial-scale lengths of interest here, propagating nearly parallel to Bg. However, its scattering on filamentary density depletions with much-smaller-spatial-scale lengths transverse to Bg compared to the electromagnetic wavelength can give an azimuthal component of the pump field (Istomin and Leyser2003). This is the motivation for why m0=1 is taken here, which implies that m1m2 for m3≠0. Figure 2 shows the initial η30kl, as given by Eq. (24), in the centre of the simulation plane perpendicular to Bg. The magnitude of N3=1.0×10-7 is chosen, such that F in the right-hand side of Eq. (21) has an effect on the temporal evolution, with reasonable values for the external amplitudes E0, A1, A2 A01, and A02.

https://angeo.copernicus.org/articles/43/319/2025/angeo-43-319-2025-f02

Figure 2Initial relative electron density distribution η30kl for the LH oscillations in the centre of the 4×4m simulation plane according to Eq. (24) (N3=1.0×10-7, A01=A02=0.2V, Δφ2=π/2). The arrows indicate the direction of the ED×Bg drift. The dashed lines delineate η30kl=0, constituting separatrices for the drift. The white cross at (x,y)=(0.0,0.1)m marks the position where the time signal and power spectrum are shown in the subsequent figures. The position is relatively near an initial separatrix of the drift.

Download

Figure 3 displays the computed electron and ion densities – η3jkl (blue) and ηi3jkl (red), respectively – at (x,y)=(0.0,0.1)m for (a) E0=0.001V m−1 and A01=A02=0.002V and (b) E0=0.1V m−1 and A01=A02=0.2V, with A1=A2=0.2V in both cases. Parameters typical of the ionospheric F region were used: ωe2π×1.35×106 s−1, as estimated from the experiments (Carozzi et al.2002) from which the spectrum in Fig. 1 was obtained, oxygen ions; ωuh=sωe, with s=4, νe=500 s−1, and νi=5 s−1; and electron temperature Te=2000K. The frequencies of the involved wave modes are related by the matching condition of Eq. (15), where, for the present treatment, ω1=4ωe-Δω1, where Δω1=2π×10×103 s−1. By keeping ω1 constant, kr1 is constant, while, for the small value of Δω1, we still have ω0≈4 ωe for the different ω3 values to be discussed. In the experiments, ω0≈4 ωe commonly results in the exponential slope of the BUM spectral feature that is of interest here.

In Fig. 3a, the external driving due to E0 is weak, such that vD and F in Eqs. (21) and (22) are small. The displayed oscillations are the LH resonance oscillations at about 7.6 kHz that are weakly perturbed by the beating of the HF fields at f3=20kHz in vD and F. For comparison, a sinusoidal oscillation at f3 is shown in black. The oscillation frequency in Fig. 3a agrees with the theoretical value of the LH resonance frequency:

(25) f lh = 1 2 π ω pi ω e ω uh = ( m e m i ) 1 / 2 ( 1 - 1 s 2 ) 1 / 2 f e 7.6 kHz ,

where ωpi=(me/mi)1/2ωp. The time step in the computations – Δt=2.5×10-7 s – implies Δtflh1.9×10-3. In Fig. 3b, E0 is sufficiently strong, such that the temporal evolution is instead determined by vD and F. The temporal evolution contains narrow pulses that are even shorter than the oscillations at the driving frequency f3 illustrated in Fig. 3a.

https://angeo.copernicus.org/articles/43/319/2025/angeo-43-319-2025-f03

Figure 3Temporal evolution of η3jkl and ηi3jkl at k and l, such that (x,y)=(0.0,0.1)m from 0 to 0.0005s (f3=20kHz, Δφ2=π/2). (a) E0=0.001V m−1, A1=A2=0.2V, and A01=A02=0.002V. For comparison, shown in black is an oscillation sin (ω3t) at the driving frequency f3. (b) E0=0.1V m−1, A01=A02=0.2V, and other parameter values as for (a).

Download

Figure 4 displays the temporal evolution (panel a) of η3jkl (blue) and ηi3jkl (red) and the corresponding power spectrum (panel b) for the longer time period from t=0s to t=0.0025s, with the same parameter values as for Fig. 3b. The power spectrum is approximately exponential as it has a constant slope in the semi-logarithmic plot. The narrow peaks at multiples of f3=20kHz enter through vD and F in Eqs. (21) and (22). The width of the LH spectrum is about 160 kHz, which is an order of magnitude larger than both flh and f3.

https://angeo.copernicus.org/articles/43/319/2025/angeo-43-319-2025-f04

Figure 4Temporal evolution (a) and power spectrum (b) of η3jkl (blue) and ηi3jkl (red) at (x,y)=(0.0,0.1)m for the time between 0s and 0.0025s, with the same parameter values as for Fig. 3b.

Download

In Figs. 5 and 6, some of the narrow pulses in the temporal evolution of η3jkl in Fig. 4a are investigated. Figure 5a shows η3jkl from t=0.0005s to t=0.0025s, which corresponds to a timescale of 0.0005×flh4 to 0.0025×flh19 wave periods of LH resonance oscillations. The time period excludes the initial overshoot behaviour of η3jkl seen in Fig. 4a. The four pairs of vertical dashed red lines mark the time periods with pulse-type features discussed in Fig. 5b and c (t≈0.00067s) and Fig. 6 (t≈0.00092, 0.00182, and 0.00214 s). Figure 5b displays an expanded time period marked by the vertical dashed red lines at t≈0.00067s, which includes a single negative pulse-type feature in the time series (blue dots) together with a fitted Lorentzian function in accordance with Eq. (1) (black curve). The width of the Lorentzian pulse is τ8.90×10-6s, such that τf3≈0.18, which implies that the temporal pulse is much shorter than the driving wave period (1/f3). The corresponding scaling frequency is fs=1/(4πτ)9kHz. Figure 5c shows the power spectrum (blue) of the time series in Fig. 5a, together with P(f)exp(-f/fs) (dashed black line). The width τ and corresponding scaling frequency fs of the approximately Lorentzian-shaped pulse in Fig. 5b correspond roughly to the slope of the spectrum.

https://angeo.copernicus.org/articles/43/319/2025/angeo-43-319-2025-f05

Figure 5Fit of a Lorentzian function to a single pulse-type feature in the signal of η3jkl for the same time series as in Fig. 4 (f3=20kHz and E0=0.1V m−1). (a) Temporal evolution from t=0.0005s to t=0.0025s and (b) for a single pulse (blue dots). The time period for the single pulse is marked by the leftmost pair of vertical dashed red lines at t≈0.0067s in (a). The three remaining pairs of vertical dashed lines indicate the time periods discussed in Fig. 6. The solid black curve in (b) is a fitted Lorentzian pulse of width τ8.90×10-6s, which corresponds to fs≈9kHz. (c) The power spectrum for the time series in (a). The dashed line shows the exponential slope P=10-6exp(-f/fs).

Download

Figure 6 displays three additional pulse-type features in the same time series of η3jkl (Figs. 4 and 5a) from the time periods at (a) t≈0.00092s, (b) t≈0.00182s, and (c) t≈0.00214s, marked by the three rightmost pairs of dashed red vertical lines in Fig. 5a. In Fig. 6a, the fitted Lorentzian pulse has a width of τ6.15×10-6s and fs≈13kHz. In Fig. 6b, the fitted Lorentzian pulse is τ7.23×10-6s and fs≈11kHz. Most of the pulse-type features in the time series in Fig. 5a have a skewed shape, and only a few have a reasonably symmetric Lorentzian form. Figure 6c shows an example of a skewed pulse. A Lorentzian function cannot be reasonably fitted to the pulse. In Fig. 6d, the same spectrum as in Fig. 5c is displayed but with the spectral slopes for the obtained fs of the Lorentzian functions: (a) fs≈13kHz (dotted line) and (b) fs≈11kHz (dash-dotted line). The Lorentzian pulse widths are consistent with the slope of the spectrum. As different widths of Lorentzian pulses give different fs values, an observed exponential slope is associated with a temporal evolution containing predominantly Lorentzian pulses of approximately equal width, as for Fig. 5b (fs≈9kHz), Fig. 6a (fs≈13kHz), and Fig. 6b (fs≈11kHz).

https://angeo.copernicus.org/articles/43/319/2025/angeo-43-319-2025-f06

Figure 6Three examples of pulse-type features from the computed time series η3jkl (blue dots) in Figs. 4 and 5a and fits of a Lorentzian function (black lines). (a) Pulse at t≈0.00092s and fitted Lorentzian function with fs≈13kHz (η3jkl was decreased by 0.3×10-7 to optimize the fit). (b) Pulse at t≈0.00182s and fs≈11kHz (η3jkl was decreased by 0.6×10-7 to optimize the fit). (c) Pulse at t≈0.00214s. (d) The power spectrum (the same as in Fig. 5c), with the black lines showing the exponential slope P=10-14exp(-f/fs) for the pulses in (a) and (b).

Download

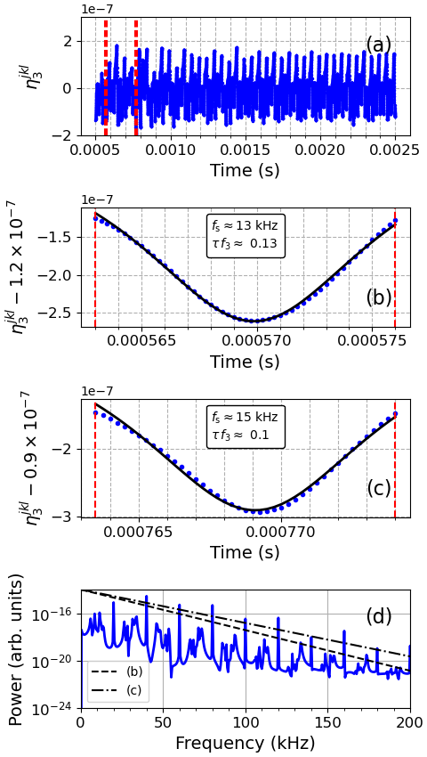
The width τ of the approximately Lorentzian-shaped pulses in the time series η3jkl at a given (x,y) depends on the amplitudes E0, A1, A2, A01, and A02. Figure 7 displays a case with E0=0.2V m−1, A01=A02=0.4V, and other parameters, as for Figs. 4 to 6, for which E0=0.1V m−1 and A01=A02=0.2V. Figure 7a shows the time series at (x,y)=(0.0,0.1)m. The two pairs of dashed red lines at t≈0.00057s and t≈0.00077s indicate two examples of negative pulse-type signatures that have approximately Lorentzian shapes. In Fig. 7b, the pulse (blue dots) at t≈0.00057s is displayed together with a fitted Lorentzian function (black line) with a width corresponding to fs≈13kHz. In Fig. 7c, the pulse (blue dots) at t≈0.00077s is shown with a fitted Lorentzian function (black line) with a width corresponding to fs≈15kHz. The associated exponential slopes agree approximately with that of the power spectrum of the time series seen in Fig. 7d. The pulse in Fig. 7c with fs≈15kHz appears to have a slightly better fit to the spectrum. The obtained scaling frequencies of fs≈13kHz and fs≈15kHz are a few kilohertz higher than those in Figs. 5 and 6, for which fs≈9, 11, and 13 kHz. Stronger driving through E0, A01, and A02 gives a larger drift – vD=ED×Bg/Bg – and, thereby, narrower pulses with larger fs.

https://angeo.copernicus.org/articles/43/319/2025/angeo-43-319-2025-f07

Figure 7Lorentzian pulse-type features in the computed time signal of η3jkl at (x,y)=(0.0,0.1)m for E0=0.2V m−1, A01=A02=0.4V, and other parameter values, as for Figs. 4 to 6. (a) Temporal evolution from t=0.0005s to t=0.0025s. Two pulses are indicated by the two pairs of vertical red dashed lines. (b) Pulse (blue dots) at t≈0.00057s and fitted Lorentzian function (solid black curve) of width τ6.27×10-6s, which corresponds to fs≈13kHz (η3jkl was decreased by 1.2×10-7 to optimize the fit). (c) Pulse (blue dots) at t≈0.00077s and fitted Lorentzian function (solid black curve) of width τ5.25×10-6s, which corresponds to fs≈15kHz (η3jkl was decreased by 0.9×10-7 to optimize the fit). (d) The power spectrum for the time series in (a). The black lines show the exponential slope P=10-14exp(-f/fs) for fs in (b) and (c).

Download

5 Discussion

Plasma drifts in multi-cell patterns may exhibit deterministic chaos due to topological modulations of the flow (e.g. Shi et al.2009; Maggs and Morales2011, 2012). The topological modulations result in the formation of narrow temporal pulses of Lorentzian shape in the plasma flow. As the power spectrum of a Lorentzian pulse is exponential, it follows that, if the Lorentzian pulses in the time signal have approximately the same widths, its spectrum will be exponential. Exponential power spectra are an inherent characteristic of deterministic chaos.

The BUM feature in the spectrum of electromagnetic emissions stimulated by powerful radio waves in the ionosphere commonly exhibits an exponential high-frequency flank, as shown in Fig. 1. The BUM has been attributed to parametric four-wave interactions involving the electromagnetic pump wave and electrostatic EB, UH, and LH waves (Huang and Kuo1994), with matching conditions for the high-frequency waves, as suggested by the empirical relation in Eq. (3). In the theory, the UH oscillations at ω2=ω0+ω3 are assumed to scatter off small-scale density irregularities into electromagnetic emissions that can escape the ionosphere and be detected as the BUM on the ground. Whereas the initial theory by Huang and Kuo (1994) considered waves in one spatial dimension, the present understanding is that, on thermal timescales, wave modes perpendicular to Bg are localized inside density depletions of small-scale striations (Gurevich et al.1997; Mjølhus1997; Istomin and Leyser1998). In two-dimensional geometry perpendicular to Bg, excited localized wave modes will have standing multi-cell oscillations inside the density depletions.

In the present treatment, results of numerical simulations of relevant nonlinear wave processes are presented. LH oscillations are modelled by Eqs. (11) and (14) in the plane perpendicular to Bg and are excited by nonlinear interactions of the pump and EB and UH modes. Specifically, the beating of the pump field with the EB and UH fields is introduced through the ponderomotive force F and the drift velocity vD in the advection terms in the equations. Figure 2 shows the initial condition for the electron density fluctuations η30kl. With η30klΦD(t=0), the ED×Bg drift occurs along equipotential lines around extrema in η3jkl. Thus, the direction of the ED×Bg drift changes from clockwise to anti-clockwise and vice versa in adjacent extrema in ΦD and η3jkl. The resulting separatrices in the ED×Bg drift are illustrated by dashed lines in Fig. 2. Also, the drift changes direction with the change in sign of ED every half wave period T3/2=1/(2f3).

Figure 3 displays the temporal evolution of the LH electron η3jkl (blue) and ion ηi3jkl (red) density fluctuations at (x,y)=(0.0,0.1)m for (a) E0=0.001V m−1 and A01=A02=0.002V and (b) E0=0.1V m−1 and A01=A02=0.2V, with f3=20kHz and A1=A2=0.2V in both cases. In Fig. 3a, η3jkl and ηi3jkl oscillate at the LH resonance frequency of 7.6 kHz, which is lower than at f3. Because of the low E0, the external driving through F and vD at f3 is too weak to have a noticeable effect on the time dependence. However, in Fig. 3b, the temporal evolution is different, with pulse-type features occurring seemingly erratically, some of which are narrower than the driving frequency at f3, indicated by the black curve in Fig. 3a.

Figure 4a shows the electron η3jkl (blue) and ion ηi3jkl (red) oscillations for the same parameter values as in Fig. 3b but for the longer time period between 0s and 0.0025s. As seen in Fig. 4b, the power spectra of both η3jkl and ηi3jkl have an approximately exponential slope. Figures 5 and 6, which are for the same time period, show that some of the pulse-type features in the time series have close to a Lorentzian shape. The examples in Figs. 5 and 6 give, for the fitted Lorentzian functions, the scaling frequencies fs≈9kHz (Fig. 5b), fs≈13kHz (Fig. 6b), and fs≈11kHz (Fig. 6c). As the obtained fs values agree approximately with the slope of the spectrum, it is concluded that the power spectra in Figs. 4b, 5b, and 6d are determined by Lorentzian pulses due to chaotic dynamics and that the Lorentzian pulses have approximately the same widths. In the discussed model, with the frequency matching conditions in Eq. (15), the spectrum of LH oscillations (ω3) is upshifted to the UH mode according to ω2=ω0+ω3. The UH oscillations could then scatter off density irregularities of the filamentary density striations into electromagnetic emissions that can be detected as the BUM in the SEE spectrum on the ground. It is therefore concluded that the experimentally observed exponential high-frequency flank of the BUM emission (Fig. 1) is evidence of deterministic chaos in wave interactions along the lines of those shown in the present simulations.

The temporal evolution is chaotic for E0=0.1V m−1 (Figs. 3b, 4, 5, and 6) but not for E0=0.001V m−1 (Fig. 3a). This is evidence that a threshold must be exceeded for chaotic time dependence. Because of temporal modulations in the multi-cell drift trajectories associated with ΦD, plasma may cross separatrices in the ED×Bg drift. Deterministic chaos seems to set in when the drift is fast enough for plasma to drift sufficiently far to cross a separatrix to drift around an adjacent potential extremum before the potential changes sign every half wave period and the drift direction reverses.

Whereas some of the pulse-type features in the time series have an approximately Lorentzian form, most of them are asymmetric, and the later pulse flank is generally steeper than the earlier flank. This asymmetry may indicate nonlinear steepening of the pulses. A careful look reveals that this is also the case for the reasonably symmetric Lorentzian pulses in Figs. 5 to 7. It is interesting that the skewness of a Lorentzian pulse does not affect its power spectrum (Maggs and Morales2011; Garcia and Theodorsen2018), such that asymmetric Lorentzian pulses contribute to an exponential power spectrum. However, it is not clear whether some of the skewed pulses observed in the present simulations can actually be considered to be skewed Lorentzian forms. This requires further investigation.

Finally, the scaling frequency fs in the present model depends on E0, A01, and A02. Figure 7 shows a case for E0=0.2V m−1, A01=A02=0.4V, and other parameter values, as for Figs. 4 to 6. The obtained fs values for the fitted Lorentzian functions are typically a few kilohertz higher than for E0=0.1V m−1 and A01=A02=0.2V (Figs. 5 and 6). With increasing E0, fs increases. However, experiments on pump power stepping at the SURA facility suggest that the slope of the BUM high-frequency flank is independent of the pump power (Wagner et al.1999, their Fig. 9). The maximum effective radiated power (ERP) was about 150 MW, and the BUM flank was observed to have similar slopes for the pump power levels of −6, −3, and 0dB relative to the maximum ERP.

The present simulation results are not consistent with this experimental result. As seen from Fig. 7, for which fs values for the fitted Lorentzian functions in Fig. 7b and c are a few kilohertz larger than in Figs. 5 and 6, fs depends on E0, A01, and A02. At this stage, possible reasons for this discrepancy may only be speculated upon. In the present study, only a single density depletion associated with a single small-scale striation is considered. In reality, many striations are excited simultaneously. Theories (Mjølhus1983; Gurevich et al.1995; Hall and Leyser2003) and numerical computations (Eliasson and Leyser2015) show that striations are electromagnetically coupled to one another through the electromagnetic Z mode. It is brought into question whether, for sufficiently high pump powers, the nonlinear processes of oscillations localized inside a striation are nonlinearly saturated. Increasing the pump power may then only result in more striations to be excited. This could account for the higher BUM intensity at higher pump power but with fsl that depends on the localized interactions independent of pump power. However, this requires modelling of the physics on a global scale, with many striations and with nonlinear saturation for the involved oscillation amplitudes, which is beyond the scope of the present study.

6 Conclusions

The prominent BUM feature in the spectrum of electromagnetic emissions stimulated by powerful HF radio waves in the ionosphere commonly has an exponential high-frequency flank for pump frequencies near a harmonic of the ionospheric electron gyro frequency. Exponential power spectra have been shown to be a characteristic of deterministic chaos. As the BUM has been interpreted in terms of parametric four-wave interactions involving the electromagnetic pump field and EB, UH, and non-resonant LH modes (Huang and Kuo1994), a simplified two-fluid model of parametrically excited LH oscillations has been derived and studied by means of numerical simulations. The LH oscillations were taken to be localized in a cylindrical density depletion in the plane perpendicular to a homogeneous and static geomagnetic field. As such, they form cylindrical modes characterized by the frequency, an azimuthal mode number and radial wave number. The localized LH modes are associated with multi-cell plasma drift patterns. For sufficiently strong driving fields, the time signal of the LH electron and ion density fluctuations at a fixed position in the simulation plane exhibit an approximately exponential power spectrum, thereby being evidence of deterministic chaos. The exponential spectrum is connected to pulse-type features of Lorentzian form in the time signal.

As the parameter values in the simulations are reasonable within the ionospheric experiments, it is proposed that the observed exponential flank of the BUM is the result of deterministic chaos in the LH dynamics. According to the model of parametric interaction for the BUM, the beating of the LH oscillations with the pump field shifts the LH spectrum to the UH mode at frequencies above the pump frequency, where they could be converted into electromagnetic emissions and be observed on the ground. In view of the generality of the physics of deterministic chaos, it may be that similar processes can occur in other regions of space plasma, for example, in ionospheric single- or multi-cell convection that is topologically modulated by fluctuations in the geomagnetic field.

Code availability

The simulation code is not publicly available.

Data availability

The experimental results used in this paper have been published by Carozzi et al. (2002).

Competing interests

The author has declared that there are no competing interests.

Disclaimer

Publisher’s note: Copernicus Publications remains neutral with regard to jurisdictional claims made in the text, published maps, institutional affiliations, or any other geographical representation in this paper. While Copernicus Publications makes every effort to include appropriate place names, the final responsibility lies with the authors.

Acknowledgements

The author gratefully acknowledges the referee Paul Bernhardt for his comments on the paper.

Financial support

The publication of this article was funded by the Swedish Research Council, Forte, Formas, and Vinnova.

Review statement

This paper was edited by Elias Roussos and reviewed by Paul Bernhardt and Savely Grach.

References

Carozzi, T. D., Thidé, B., Grach, S. M., Leyser, T. B., Holz, M., Komrakov, G. P., Frolov, V. L., and Sergeev, E. N.: Stimulated electromagnetic emissions during pump frequency sweep through fourth electron cyclotron harmonic, J. Geophys. Res., 107, 1253, https://doi.org/10.1029/2001JA005082, 2002. a, b, c

Eliasson, B. and Leyser, T. B.: Numerical study of upper hybrid to Z-mode leakage during electromagnetic pumping of groups of striations in the ionosphere, Ann. Geophys., 33, 1019–1030, https://doi.org/10.5194/angeo-33-1019-2015, 2015. a

Frisch, U. and Morf, R.: Intermittency in nonlinear dynamics and singularities at complex times, Phys. Rev. A, 23, 2673–2705, https://doi.org/10.1103/PhysRevA.23.2673, 1981. a

Garcia, O. E. and Theodorsen, A.: Skewed Lorentzian pulses and exponential frequency power spectra, Phys. Plasmas, 25, 014503, https://doi.org/10.1063/1.5004811, 2018. a

Greenside, H., Ahlers, G., Hohenberg, P., and Walden, R.: A simple stochastic model for the onset of turbulence in Rayleigh-Bénard convection, Physica D, 5, 322–334, https://doi.org/10.1016/0167-2789(82)90026-4, 1982. a

Gurevich, A. V., Zybin, K. P., and Lukyanov, A. V.: Stationary state of isolated striations developed during ionospheric modification, Phys. Lett. A, 206, 247–259, 1995. a

Gurevich, A. V., Carlson, H., Lukyanov, A. V., and Zybin, K. P.: Parametric decay of upper hybrid plasma waves trapped inside density irregularities in the ionosphere, Phys. Lett. A, 231, 97–108, 1997. a

Hall, J. O. and Leyser, T. B.: Conversion of trapped upper hybrid oscillations and Z mode at a plasma density irregularity, Phys. Plasmas, 10, 2509–2518, 2003. a

Hornung, G., Nold, B., Maggs, J. E., Morales, G. J., Ramisch, M., and Stroth, U.: Observation of exponential spectra and Lorentzian pulses in the TJ-K stellarator, Phys. Plasmas, 18, 082303, https://doi.org/10.1063/1.3622679, 2011. a

Huang, J. and Kuo, S. P.: A theoretical model for the broad upshifted maximum in the stimulated electromagnetic emission spectrum, J. Geophys. Res., 99, 19569–19576, 1994. a, b, c, d, e

Istomin, Y. N. and Leyser, T. B.: Parametric decay of an electromagnetic wave near electron cyclotron harmonics, Phys. Plasmas, 2, 2084–2097, https://doi.org/10.1063/1.871295, 1995. a, b, c, d

Istomin, Y. N. and Leyser, T. B.: Parametric interaction of self-localized upper hybrid states in quantized plasma density irregularities, Phys. Plasmas, 5, 921–931, https://doi.org/10.1063/1.872661, 1998. a

Istomin, Y. N. and Leyser, T. B.: Electron acceleration by cylindrical upper hybrid oscillations trapped in density irregularities in the ionosphere, Phys. Plasmas, 10, 2962–2970, https://doi.org/10.1063/1.1578637, 2003. a

Karplyuk, K., Kolesnichenko, Y., and Oraevsky, V.: Interaction of magnetohydrodynamic waves in a bounded plasma, Nucl. Fusion, 10, 3–11, https://doi.org/10.1088/0029-5515/10/1/001, 1970. a

Langtangen, H. P. and Linge, S.: Finite Difference Computing with PDEs, SpringerOpen, Cham, Switzerland, ISBN 978-3-319-55456-3 https://doi.org/10.1007/978-3-319-55456-3, 2017. a

Leyser, T. B.: Stimulated electromagnetic emissions by high-frequency electromagnetic pumping of the ionospheric plasma, Space Sci. Rev., 98, 223–328, https://doi.org/10.1023/A:1013875603938, 2001. a, b

Leyser, T. B.: Deterministic Chaos in Ionospheric Plasma Pumped by Radio Waves, Geophys. Res. Lett., 48, e2021GL093892, https://doi.org/10.1029/2021GL093892, 2021. a, b, c, d

Leyser, T. B., Thidé, B., Derblom, H., Hedberg, Å., Lundborg, B., Stubbe, P., and Kopka, H.: Stimulated electromagnetic emission near electron cyclotron harmonics in the ionosphere, Phys. Rev. Lett., 63, 1145–1147, https://doi.org/10.1103/PhysRevLett.63.1145, 1989. a

Maggs, J. E. and Morales, G. J.: Generality of Deterministic Chaos, Exponential Spectra, and Lorentzian Pulses in Magnetically Confined Plasmas, Phys. Rev. Lett., 107, 185003, https://doi.org/10.1103/PhysRevLett.107.185003, 2011. a, b, c, d

Maggs, J. E. and Morales, G. J.: Origin of Lorentzian pulses in deterministic chaos, Phys. Rev. E, 86, 015401(R), https://doi.org/10.1103/PhysRevE.86.015401, 2012. a, b

Mjølhus, E.: On reflexion and trapping of upper-hybrid waves, J. Plasma Phys., 29, 195–215, 1983. a

Mjølhus, E.: Parametric instabilities of trapped upper-hybrid oscillations, J. Plasma Phys., 58, 747–769, 1997. a

Pace, D. C., Shi, M., Maggs, J. E., Morales, G. J., and Carter, T. A.: Exponential frequency spectrum and Lorentzian pulses in magnetized plasmas, Phys. Plasmas, 15, 122304, https://doi.org/10.1063/1.3023155, 2008. a, b

Shi, M., Pace, D. C., Morales, G. J., Maggs, J. E., and Carter, T. A.: Structures generated in a temperature filament due to drift-wave convection, Phys. Plasmas, 16, 062306, https://doi.org/10.1063/1.3147863, 2009.  a, b

Wagner, L. S., Bernhardt, P. A., Goldstein, J. A., Selcher, C. A., Frolov, V. L., and Sergeev, E. N.: Effect of ionospheric self-conditioning and preconditioning on the broad upshifted maximum component of stimulated electromagnetic emission, J. Geophys. Res., 104, 2573–2590, https://doi.org/10.1029/1998JA900006, 1999. a

Xi, H. and Scales, W. A.: Numerical simulation studies on the broad upshifted maximum of ionospheric stimulated electromagnetic emission, J. Geophys. Res., 106, 12787–12801, 2001. a

Download
Short summary
Electromagnetic emissions stimulated by powerful radio waves in the ionosphere exhibit an exponential power spectrum. Such a spectrum is a characteristic of deterministic chaos. A relevant model of parametrically excited localized lower-hybrid oscillations is derived. Numerical simulations show that, for parameter values typical of the ionospheric experiments, the temporal evolution may exhibit deterministic chaos, with an exponential spectrum that is consistent with the experimental results.
Share